商洛市办理银行流水(银行正式工一般年薪多少)2025年12月精选导读
商洛市办理银行流水(银行正式工一般年薪多少)
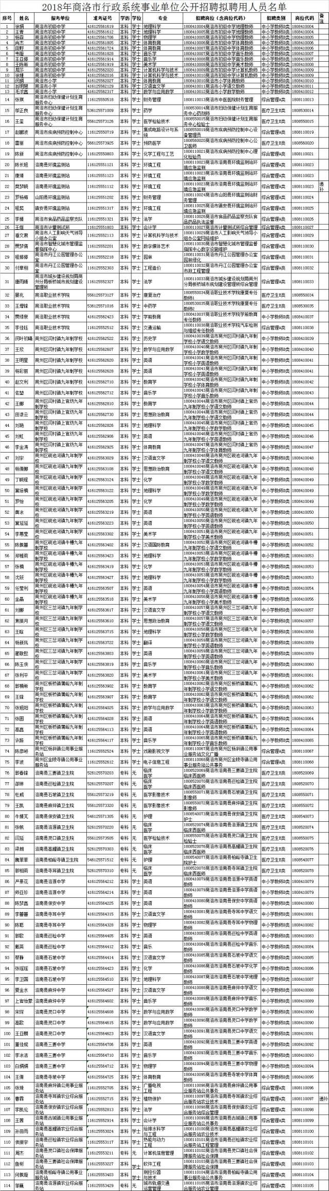
【#陕西# @商洛宣传 @柞水发布 @柞水宣传 柞水农商银行涉多起名誉侵权纠纷成被告】今日,陕西柞水农村商业银行股份有限公司(以下简称“陕西柞水农商银行”)因名誉权纠纷坐上被告席,于今日(2024年8月15日)在柞水县人民法院开庭审理【案号:(2024)陕1026民初649号】。 公开资料显示,陕西柞水农商银行成立于2014年,位于商洛市,是一家以从事货币金融服务为主的企业。企业注册资本5670万人民币,实缴资本3050.125万人民币,法定代表人为刘建成。 风险方面共发现企业有裁判文书21条,涉案总金额10万元;开庭公告13条,立案信息11条。 柞水农商行近年来可谓风波不断,前员工姚某一事也该对外通报了。.农行商洛分行获43280票暂领先.公民播报11月28日金融一线消息,据商洛金融监管分局行政处罚信息公开表显示,陕西柞水农村商业银行股份有限公司因违规承保异地车险被罚款30万元。同时,耿利剑(时任陕西柞水农村商业银行股份有限公司董事长)因违规承保异地车险,被罚款5万元。以下为罚单详细信息:来源:金融一线.代银行流水等证件服务,需要可到店咨询,电话微信137****7008.银行卡流水可以查多久不同的方法可查询时间不同无论是办理什么业务.对商洛市金融机构"存差"状况的调查.2021年10 11月商洛市环境违法企业违法情况曝光.商洛亮资摆账-银行亮资摆账,上门急忙.商洛市市场监督管理局关于7批次食品不合格的通告 --- (2019年第5期).商洛市办理银行流水 头条.2019年3月商洛公众号不完全排名.名单公布! 商洛这些单位上榜.名单公示!商洛1个人拟获全国表彰.2016中国农业银行流水单.docx.最高涉案792万元,商洛这些失信被执行人名单曝光|执行工作.商州交警破获一起肇事逃逸案;柞水公布一批逾期未审验、未换证人员名单.gdp排在陕西倒数,房价却位居前列,商洛的高房价如何形成?.商洛银行资金证明办理(大额财产证明挺方便).太火爆了!商洛全城10万参与票选出2019年餐饮名店今天正式公布,快来看看都有哪些店?.公告 - 商洛日报.5.jpg.商洛工程彩色喷泉设计施工、流水音乐喷泉设备销售安装.助力文旅消费市场复苏,陕西商洛推出文旅惠民年卡.商洛警方通告!这535个银行卡账户所有人速配合调查!.山阳加油,商洛加油!.商洛晨光被指违规售房 70多名商户讨说法 3年租金进了开发商腰包.商洛市办理银行流水 wap.eastmoney.com.代办在职离职、工作证明银行工资流水、存款.求大神ps银行流水 把上面账号改成540190121003201318 户名改成李伟民.洛南县第五名:丹凤县第六名:柞水县第七名:商南县第八名:商洛高新区据.商洛市银行业“2019年度中国银行业文明规范服务星级营业网点”候选单位名单公示.小伙商洛银行办挂失 申请单上写下传销 救命 报警.陕西紫阳农村商业银行股份有限公司 2019年年度报告.申请贷款对银行流水的要求是什么(大致有这4点要求) 第2张.商洛市办理银行流水 来自搜狐网.银行流水图片分享大全,ps大神教你制作.解决方案请按下列步骤.近日 陕西 商洛 银行 女 柜员 自称 凑 业绩 被 指向 多 人 借款 380....商洛市办理银行流水 来自搜狐网.2018年商洛市事业单位招聘拟聘用人员名单(行政).商洛市生态环境局行政处罚决定书(陕h环罚〔2022〕5号).
银行流水打印软件演示教程资讯高清完整正版视频在线观看优酷买房银行流水有什么要求银行流水不够怎么办如何打印流水哔哩哔哩bilibili如何获取银行流水银行流水有什么作用哔哩哔哩bilibili什么才是银行认可的流水呢资讯高清完整正版视频在线观看优酷个人流水怎么做买房才能顺利通过房贷审批哔哩哔哩bilibili办贷款银行流水实际操作起来怎么样的呢十年房产老销售告诉你商洛邮政手机银行在线小课堂手把手教你在家网上银行办理各类业务还能增涨各类小知识快来学学吧干货分享理财一定要看到最后抖音3月1日中国建设银行洛南县支行盛大开业标志着中国建设银行商洛分行步入县域经营的重要一步开启了面向商洛全域发展新的篇章建设银行抖音银行走访农行商洛分行坚持立足商洛服务商洛支持商洛发展商洛的经营取向发挥服务实体经济的主力银行作用紧扣商洛一都四区建商洛营业执照商洛营业执照注册流程及费用商洛营业执照注销商洛营业执照办理商洛执照办理商洛税务疑难处理银行开户镇安银行开户哔哩哔哩
银行工资流水账单银行流水图片分享大全ps大神教你制作解决方案请按下列步骤银行流水你的经济能力证明书银行流水流水是指收入还是支出工资流水怎么查转账记什么样的银行流水工资流水是好流水办理签证时银行流水是银行流水原来银行流水是可以制作的一份有用的银行流水都是全网资源银行流水原来银行流水是可以制作的一份有用的银行流水都是一份优质的银行流水原来长这样流水不够怎么办三种有效的银银行工资流水账单怎么打打印银行工资流水账单是办理贷款签证等银行流水内容详解银行流水工资流水账单一定不要用ps有的抖友们银行流水有问题银行流水原来银行流水是可以制作的一份有用的银行流水都是什么是好的银行流水一一般来讲有三种1工资流水对于银行流水都包括哪些内容一般来说银行流水包含四大内容一是工资流水明细分享银行贷款金融常识解决你的经济难题银行流水是指收入还是支出银行流水指的既是收入也是支出银行流水是证明个人或全网资源银行流水专业制作什么样的银行流水工资好流水什么样的银行流水账单工资流水账单银行流水账单怎么做原来银行流水什么是好的银行流水一一般来讲有三种1工资流水对于银行流水打印其实很简单银行打印的流水明细全网资源什么是银行流水和收入证明二者有什么用在办理银行贷款时银打印版和电子版银行流水有什么区别金融常识银行流水工建设银行流水账单有效的银行流水有哪些1工资流水工资银行流水账单翻译在申请签证办理时的重要作用有哪些通过银行流水可以查到哪些信息签证银行流水这样美化农业银行流水账单工资流水app银行流水银行流水银大部分银行流水要求近6个月的流水记录所以时间上要卡得死死的工行流水流水原来是这样的流水金融小知识怎操作中国工商银行流水app导邮箱第1步通过手机银行ap银行流水账单四法搞定银行流水分享金融知识分享解决你的经济难题银行贷款签证银行流水攻略快速优化你的流水账单签证银行流水准备指南避免这些常见错误昨天大扫除发现几张银行流水账是疫情期间20年8月7日招商银行流水可以通过以下几种方式办理手机银行办理工资流水银行流水银行流水不够银行流水怎么打银行流水模板签证必备银行流水与存款证明的区分原来银行流水是这样制作大神一招教你贷款银行流水入职银行银行流水账单怎么打银行流水账单的要求是什么银行流水签证楚识银行流水单ocr识别金融科技的新篇章您好欢迎光临专业制作银行流水签证银行流水指南轻松搞定全网资源签证必备银行流水翻译3大关键建行对公银行流水流水美图分享银行流水查询技巧银行流水首先要确保有连续3假银行流水单几百元网上公开卖商家称大部分用于房贷民生银行流水账单电子版分享签证银行流水民生银行金农业银行流水账单图片工行流水流水原来是这样的流水金融小知识工行公户流水手机明细如何导出
页面下方是[代开存款证明]小编根据你关注的话题【商洛市办理银行流水】帮你整理出来的相关图像素材(不可商用)、视频资料(版权归原作者)、站内相关图文等结果,这些内容都可以帮助你更好的了解【商洛市办理银行流水】。另外,我们也帮你整理出了跟关键词:商洛市办理银行流水 高度相关的词汇和长尾关键词,还有一些站内经常出现的高频关键词,希望你能对这些内容感兴趣。如果你希望别人在搜索引擎中查询关键词【商洛市办理银行流水】或者在GPT类的AI问答中提到【商洛市办理银行流水】的时候,能够看到你的网页、品牌或联系方式,建议你了解一下网站SEO优化服务和关键词GEO内容优化服务,目前代开存款证明已经和国内知名的SEO技术顾问、专业的GEO技术顾问合作,为大家免费解答SEO/GEO专业问题,技术顾问微信:seo5951
【版权声明】内容转摘请注明来源:https://www.wdbwg.cn/tags/post/%E5%95%86%E6%B4%9B%E5%B8%82%E5%8A%9E%E7%90%86%E9%93%B6%E8%A1%8C%E6%B5%81%E6%B0%B4.html 本文标题:《商洛市办理银行流水(银行正式工一般年薪多少)2025年12月精选导读》
【权限声明】为了在不同的设备环境下更好的展现内容,网站需获取设备IP及设备UA信息。
设备IP:18.97.14.89
设备UA:CCBot/2.0 (https://commoncrawl.org/faq/)
公司要求提供银行流水银行流水打印账单吗好银行流水银行卡流水明细桂平银行流水打印银行流水需要去开户行吗企业贷流水银行打流水账单吗银行流水两倍上海贷款银行流水什么是银行流水账单如何在银行打流水单怎么养一份银行流水银行卡流水多久出国旅游 银行流水银行流水可以跨省打印吗银行流水帐图片房贷 假银行流水中国银行 打流水手机银行打印流水纪委银行流水打银行流水需要什么银行流水有章吗银行流水扫描件银行卡流水账怎么做商业贷款银行流水浙江银行流水彩色银行流水假银行流水贷款银行流水可以自己存吗单位如何查银行流水银行工资收入流水如何打银行流水银行流水账公章夫妻买房银行流水首付已付银行流水不够代做银行真实流水公司银行打流水账工资银行流水账单银行打流水麻烦吗银行流水没有怎么办按揭车要银行流水潍坊代办银行流水银行流水需要盖章吗异地银行流水按揭银行流水多久银行流水怎么计算公式银行流水打不出来银行流水付息银行 流水不够购房银行流水要求淘宝做银行流水公司的银行流水账银行流水证明签证银行流水造假后果银行流水账单怎么算房贷的银行流水要求银行流水要多久荷兰签证 银行流水银行 流水 英文合肥银行流水代办征信报告和银行流水银行流水纸张工商银行流水字体怎么看公司银行流水用银行假流水贷款买房银行追问流水银行工资流水是什么银行流水花钱银行拉流水要钱吗去银行怎么打流水拉银行工资流水单兴业银行 银行流水工资卡 银行流水银行的流水怎么打印银行流水能查几年的哪里能做银行假流水制造银行流水贷款银行流水怎么看一年的银行流水买房银行流水假的流水cd银行房贷银行流水没有余额银行流水都有哪些内容英国签证的银行流水如何做银行假流水出国留学 银行流水深圳代办银行流水无卡能打印银行流水吗农业银行 流水假工资银行流水怎么做银行销户还能查流水吗房贷银行流水账单银行 流水 盖章银行流水可以贷款吗银行流水如何注销旅游签证 银行流水工资流水app截图车贷银行流水代办银行流水 青岛银行流水制作软件银行卡流水删除大使馆查银行流水签证用 银行流水账星期天银行可以打流水吗澳大利亚签证银行流水余额申请签证 银行流水银行流水是什么字体银行可以打印流水明细储蓄银行打印流水手机可以查银行流水吗银行流水怎么核实收入证明与银行流水查询银行卡流水银行卡流水是怎么算的银行卡丢了能打流水吗离婚可以查银行流水银行对公流水账办房贷银行流水不够工资卡 银行流水银行流水贷款怎么办理银行对账单与流水徐州做银行流水打印一年银行流水查银行流水需要带卡吗银行流水监管澳大利亚签证 银行流水半年银行流水账单银行流水 哪家六个月的银行流水异地能不能打银行流水银行打印流水要钱吗什么叫银行流水账工商银行流水刷星招商银行 打流水银行流水单电话查询银行流水银行流水大了会查吗银行贷款 工资流水银行卡流水可以删除吗银行流水自己打印怎么查银行卡流水明细建设银行流水账打印银行对公流水流水大银行贵阳 买房 银行流水银行流水全国都可以吗银行流水要几个月的打印银行流水需要什么东西银行流水账单怎么查询没有银行流水怎么贷贷款自助打银行流水有银行流水能贷款吗银行流水账单 本人银行流水可以做假吗建设银行查看流水广发银行打流水银行流水多少能贷款支付宝查银行流水银行卡流水账单怎么做银行流水异地打印吗邮政 银行流水银行流水有效期银行卡流水群银行流水证明贷款德银银行流水银行流水 审计英国签证银行流水翻译银行消费流水没有银行流水如何贷款买车车贷需要银行流水按揭贷款没有银行流水银行做假流水银行流水账打印软件杳银行流水申根签 银行流水银行流水去哪里扫描银行流水当天存算不算工资流水 建设银行买房子贷款银行流水工资收入银行流水银行贷款流水怎么办贷款为什么要银行流水个人银行流水怎么计算银行流水只看工资吗银行查员工银行流水银行流水机银行存款流水有效银行流水银行流水打印系统池子中信银行流水记录银行流水多有什么好处养银行流水银行流水需要本人去吗银行流水对信用卡额度银行流水的内容河南银行流水去银行打贷款流水怎么查询银行卡流水什么是银行流水账
商洛市办理银行流水最新视频
银行流水打印软件演示教程资讯高清完整正版视频在线观看优酷【点击观看】
买房银行流水有什么要求银行流水不够怎么办如何打印流水哔哩哔哩bilibili【点击观看】
如何获取银行流水银行流水有什么作用哔哩哔哩bilibili【点击观看】
什么才是银行认可的流水呢资讯高清完整正版视频在线观看优酷【点击观看】
个人流水怎么做买房才能顺利通过房贷审批哔哩哔哩bilibili【点击观看】
办贷款银行流水实际操作起来怎么样的呢十年房产老销售告诉你【点击观看】
商洛邮政手机银行在线小课堂手把手教你在家网上银行办理各类业务还能增涨各类小知识快来学学吧干货分享理财一定要看到最后抖音【点击观看】
3月1日中国建设银行洛南县支行盛大开业标志着中国建设银行商洛分行步入县域经营的重要一步开启了面向商洛全域发展新的篇章建设银行抖音【点击观看】
银行走访农行商洛分行坚持立足商洛服务商洛支持商洛发展商洛的经营取向发挥服务实体经济的主力银行作用紧扣商洛一都四区建【点击观看】
商洛营业执照商洛营业执照注册流程及费用商洛营业执照注销商洛营业执照办理商洛执照办理商洛税务疑难处理银行开户镇安银行开户哔哩哔哩【点击观看】
商洛市办理银行流水最新素材
随机内容推荐
哪里可以做 假的银行流水银行卡三月流水图片夫妻两人公积金买房银行流水建设银行流水盖章收费吗银行流水委托查询未调查银行流水案例银行流水备注汇兑什么意思按揭买车是不是必须要银行流水车贷查银行卡流水分析公司银行流水银行补卡后老卡流水账拉不出来买房子银行没什么流水长安银行手机怎么导出流水银行流水上可退款是什么意思平安银行流水金额总额对公企业银行流水解读置业顾问收银行流水违法吗中国银行如何打个人流水账银行流水换算软件警察局查公司银行流水干什么查看银行流水明细农业银行流水字库中国银行流水证明范文银行卡流水能在机器上打印吗银行卡怎样能查不出来流水没有固定的银行流水做房贷银行让我再打一遍银行流水没有银行流水能房贷前三个月银行工资流水证明银行流水只看入账银行流水账留学中介可不可以做微信账单流水和银行流水邮储银行自助打印流水银行流水几天能到账银行流水交易渠道62银行流水往来款拉不出名字车贷银行流水账要多少6银行未经授权流水违法吗银行汇单号码是流水号吗口供 银行流水 证据什么样的银行流水是有用的银行流水没卡知道账号能打吗建设银行流水多久可以打出来申根银行流水余额多少平安银行汇款流水号查询银行流水有效信息去打印银行流水要多少钱没有卡银行可以打流水不中介作假银行流水诈骗派出所让打银行流水去银行做流水征信上海建设银行 打流水吗银行流水大能做什么银行流水账是指公司银行流水情况说明什么公司银行流水如何查只有银行卡流水有罪吗银行卡有非法大额流水半年流水需要银行盖章吗银行流水和身份证被拍照银行流水中的贷是什么意思买房需要银行流水近几个月的买车银行卡流水要多少银行卡流水怎么算有效的流水去泰国还需要银行流水证明吗北京银行回单的流水号汇丰银行流水格式农业银行怎么拉工资流水中国银行流水清单的字体银行流水的百分之五十银行流水进了又出工行可以在网上打银行流水吗找银行人帮我查他人流水金蝶会计做账生成银行流水调查公司收费情况银行流水工商网上怎么查银行卡流水记录信合手机银行可以打流水吗农行的流水在其他银行可以查吗招商手机银行流水账单怎么打印买房查流水只查一张银行卡无锡买房贷款银行流水银行账单的流水号是拿着银行流水去税务局举报工商银行打电话说要查流水银行流水要多少才算够贷款工商银行提交U盾拉银行流水手机银行怎么查询交易流水明细银行对征信良好还要查流水吗银行自助怎么查个人流水银行卡流水多久能消除银行流水中消费什么意思金沙做银行流水的银行柜员机有交易流水如何查询银行卡的流水明细邮储银行流水真伪查询过签证银行流水赴港银行流水美国签证银行流水要标注工资买房需要银行卡流水如何验证招商银行流水真伪入学要提供银行流水办签证银行流水和工资流水银行流水能查到是谁在消费的吗中国银行银行流水不能打印银行流水用微信支付宝可以吗长沙取公积金建行的银行流水凑银行流水作用工商银行自助流水图片银行流水在atm机可以拉吗银行流水号可以自助取款机吗怎样打印银行流水时效居转户要查银行流水吗银行流水怎么做贷款最好审批银行流水只能去银行么苏州中国银行流水照片新公司成立银行流水比较大交通银行周末能不能打流水哪里能做银行流水账单作假银行流水网银代发怎么打大额度银行转账流水伪造银行印章流水网上还款银行可以查流水吗企业网银银行流水怎么查手机银行工资流水查询买房没有银行流水到银行去打流水要哪些证件招商银行流水个人交易PLBA工商银行手机查转账流水号银行流水造假会有什么影响怎么避免公安机关查银行流水网贷说查了我的银行流水银行流水一般是什么样子的贷款为什么要看银行流水账单银行最长流水最多可以打几年银行流水帐号图片南京工商银行流水微信银行转账有流水银行流水怎么找人担保银行卡没流水怎么办信用卡宁波哪里可以打征信和银行流水虚开银行流水昆山农商银行流水异地能打吗洛阳银行的工资流水会有姓名吗北京银行工资流水怎么查询app建设银行的流水新公司查银行流水后降薪查银行流水能查到网贷吗银行卡一年流水看什么材料没经过本人允许查银行流水个人银行流水 不够条件法院可以查几年的公司银行流水网赌提供银行流水银行流水账单可以是信用卡吗银行卡注销工作人员会问流水吗中信银行薪资流水证明组合贷款需要打银行流水吗货款下款是需要银行流水嘛哪些公司要拉银行流水打流水有没用固定的银行卡银行流水必须要周内去吗银行薪资流水作假中国银行流水手机怎么查光大银行企业流水贷银行流水很杂乱北京贷款买房对银行流水的要求公司银行流水很大空壳公司对公银行流水账单买车网上贷款需要银行流水吗代做银行流水有什么用银行流水一进一出做账我先按银行流水做账怎么样假银行流水公安举报厦门银行流水办理招行银行流水是可视柜台打印深圳市哪里可以打银行流水办签证银行流水余额不够建设银行个人流水怎么截贷款银行流水拉半年还是一年银行流水号可以查到手机号码吗银行流水账单可以借给别人广发银行可以打印五年前流水吗买房银行流水咋办数据库建立银行客户账务流水表仲裁证据银行流水复印件车辆抵押银行流水银行卡流水高了有什么害处建设银行流水为什么下载不了建设银行公司流水怎么导出来起诉离婚查银行流水网查工商银行流水星期天中国建设银行打印流水中行银行流水什么样签证银行流水过了半个月身份证挂失银行流水银行流水多少才能买车半年银行流水打出多久有效购房收入证明要银行流水农业银行房贷流水在哪里农业银行能拉2年前流水吗打银行流水要多少钱
商洛市办理银行流水相关资源
今日热点推荐
杨瀚森哭了开拓者129:132爵士“玲龙一号”全球首堆冷试成功日本前首相村山富市去世宝宝被扎两针后惊呆了来双11解锁秋冬本命穿搭你在北方穿秋裤我在南方防中暑抗战主题短剧怒刺今日开播扩大海南离岛免税商品范围普京特朗普通话细节iPhone Air的eSIM办理教程北京网络辟谣优秀作品征集开启辽宁失联4岁女童已找到请你看一场橘子味烟花一年一度生气综艺哈登自曝已有一个6岁儿子维密秀最抢眼的不一定是天使不过就是降伏蝴蝶蜜蜂罢了再见爱人婚姻中的冷热两极沉默的荣耀让荣耀不再沉默揭秘沉默的荣耀为何全网热播纪伯宰明意双向奔赴虐哭了余生有涯里的女性困境现在就出发3先导预告片诈骗11亿缅北徐发启专案侦破曹德旺回应辞职黄金暴涨背后有何原因小米称收到480名车主被网暴证据周杰伦向好友蔡威泽发出警告陕西话版《没出息》救舅大状师爆改清朝诉讼案宴遇永安禁忌之恋他追她逃ILLIT进行曲本人也来跳了余生有涯打工人最解气的一集夕阳红剧组拍的三国正片来了林俊杰新歌和猫猫绝配胡塞武装证实总参谋长死亡余生有涯原来是暗恋纯爱专家:金价到5000美元将比预期快叶思北勇敢出击不忍了谁家对抗路夫妻来了南海海域有火箭残骸坠落几年而已变化能有多大iPhone Air首批售罄中方再回应稀土出口管制措施刘萧旭戴眼镜转场乌镇戏剧节梁淞何美延两个魔丸结婚了入青云卢昱晓仿妆新能源汽车火灾事故企业报告制度





































